内蒙古能源职业学院2026年第二次单独招生考试成绩公示-内蒙古能源职业学院
  • 领导信箱
内蒙古能源职业学院2026年第二次单独招生考试成绩公示
发布时间:2026年04月20日 来源:本网原创 浏览:1343次

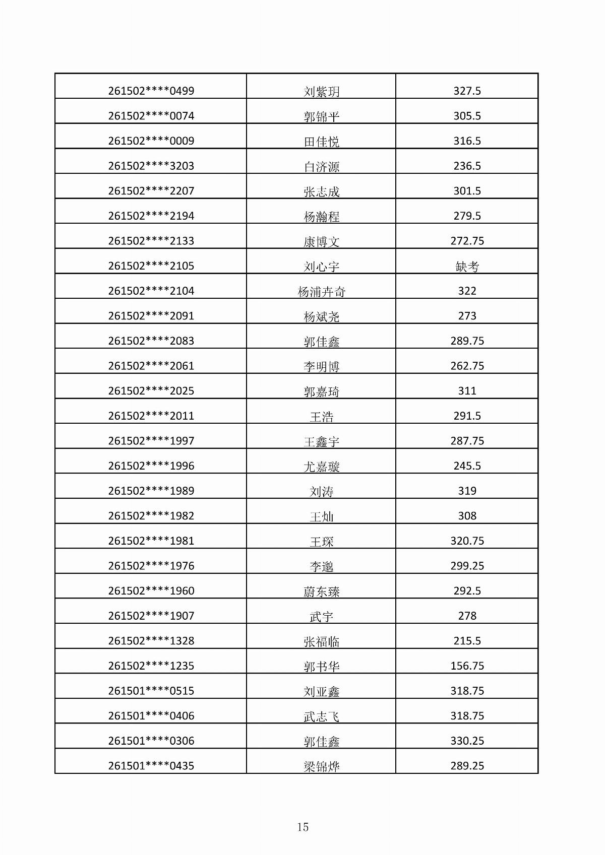
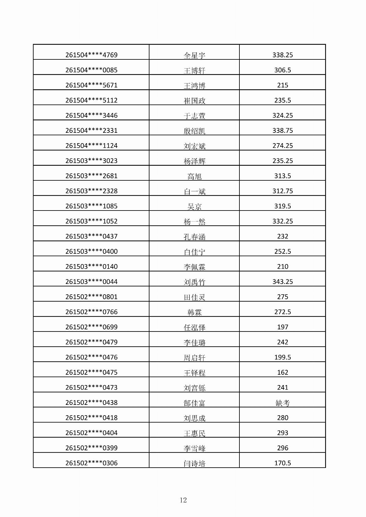
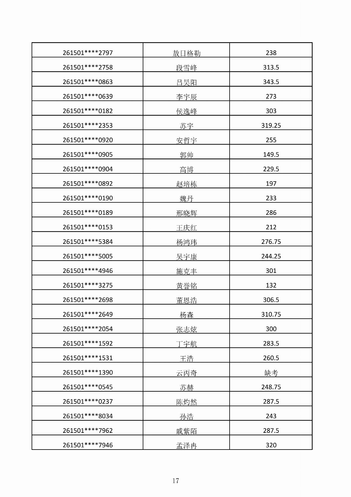
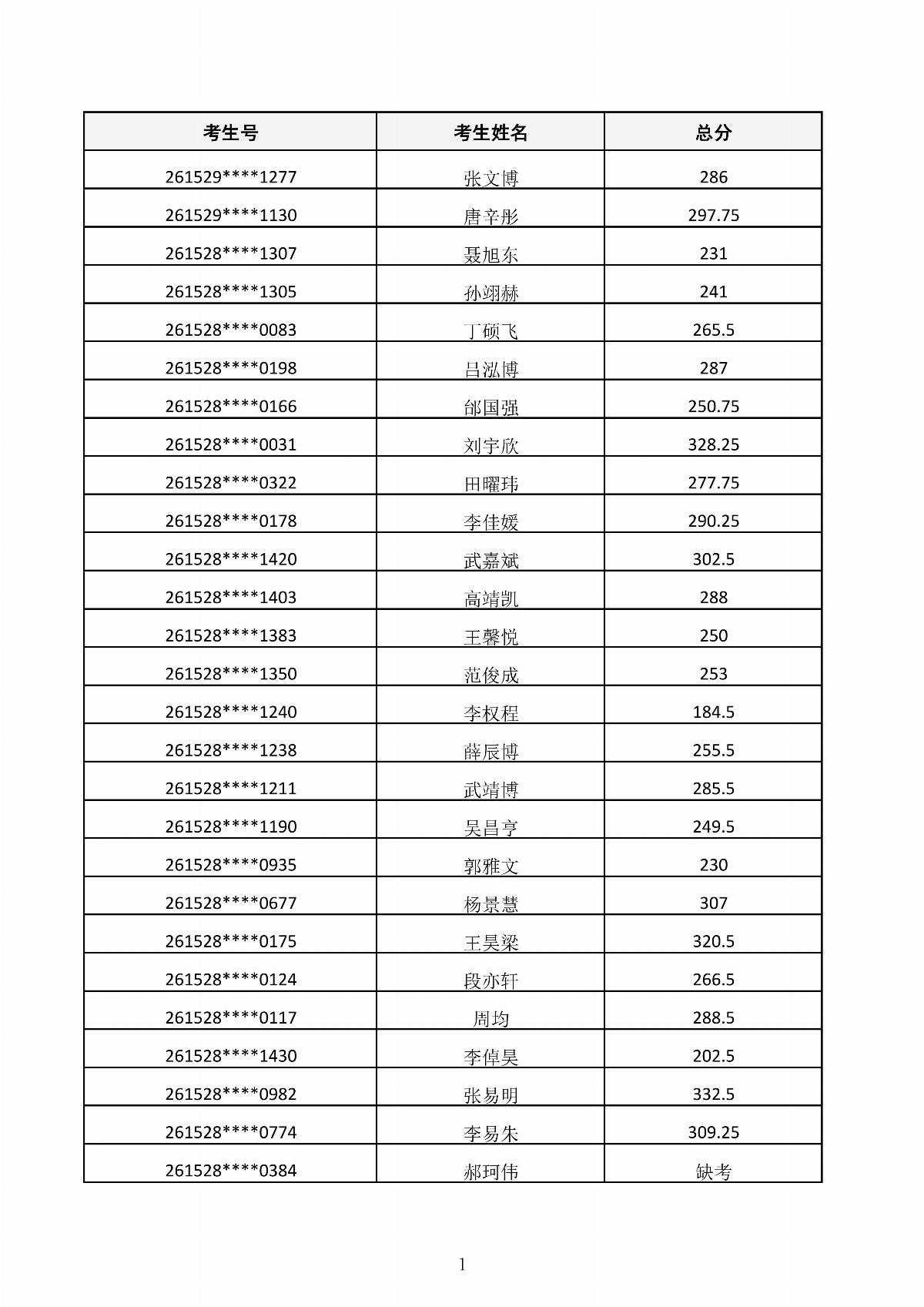
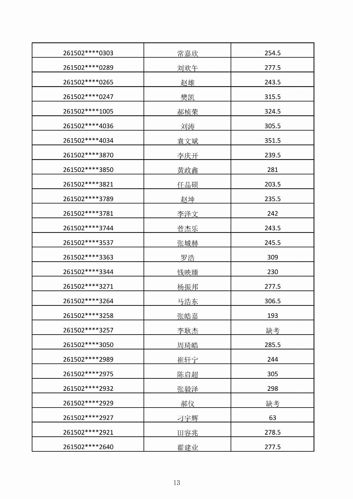
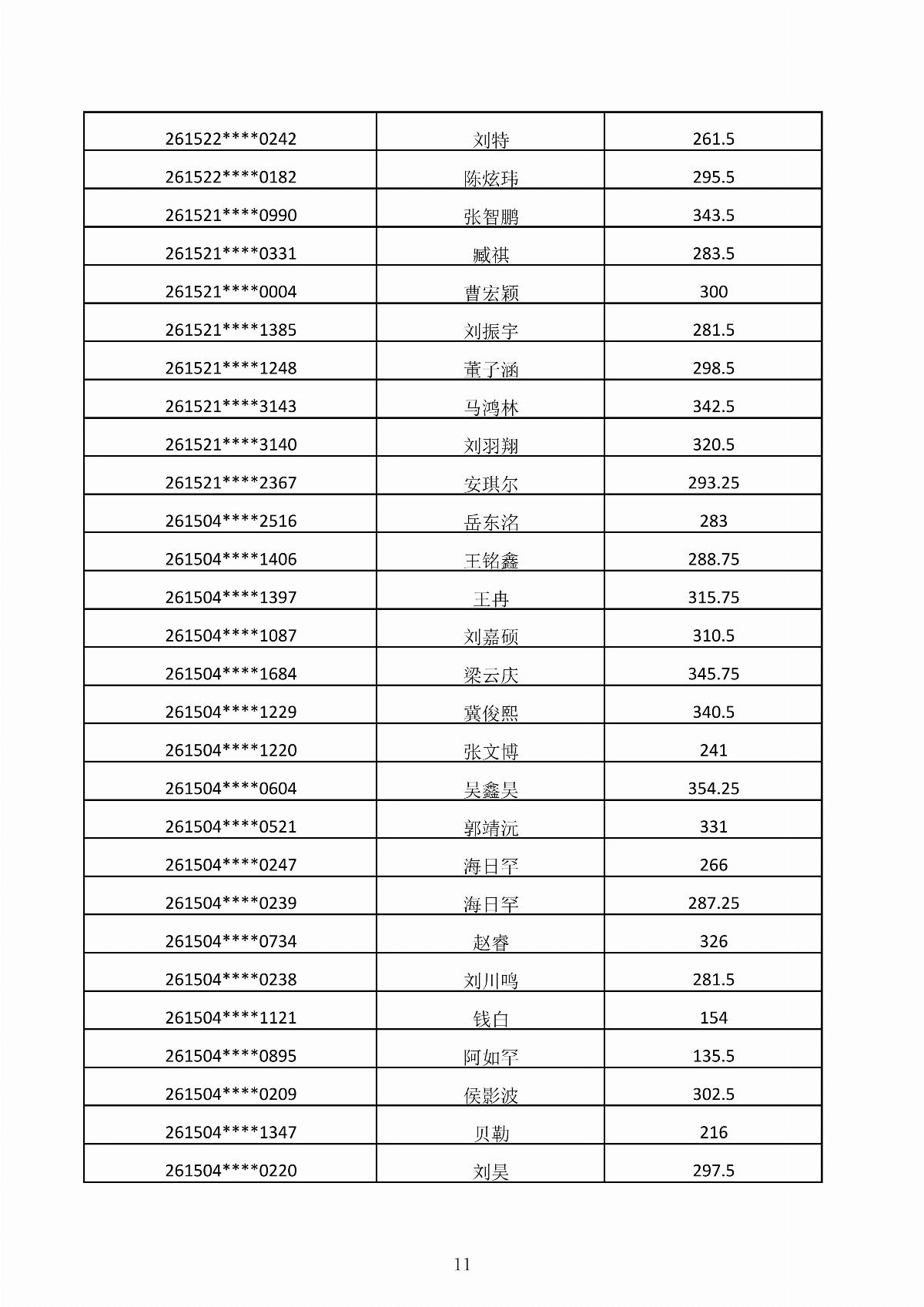
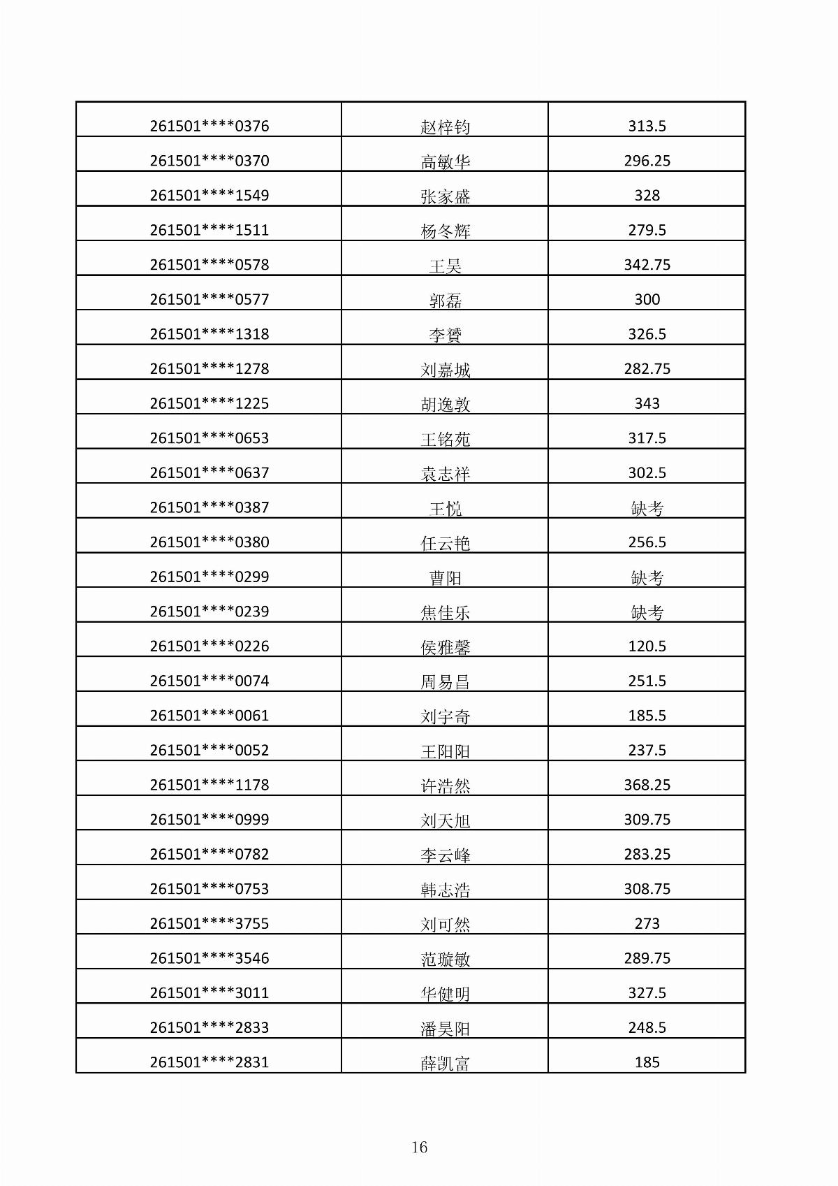
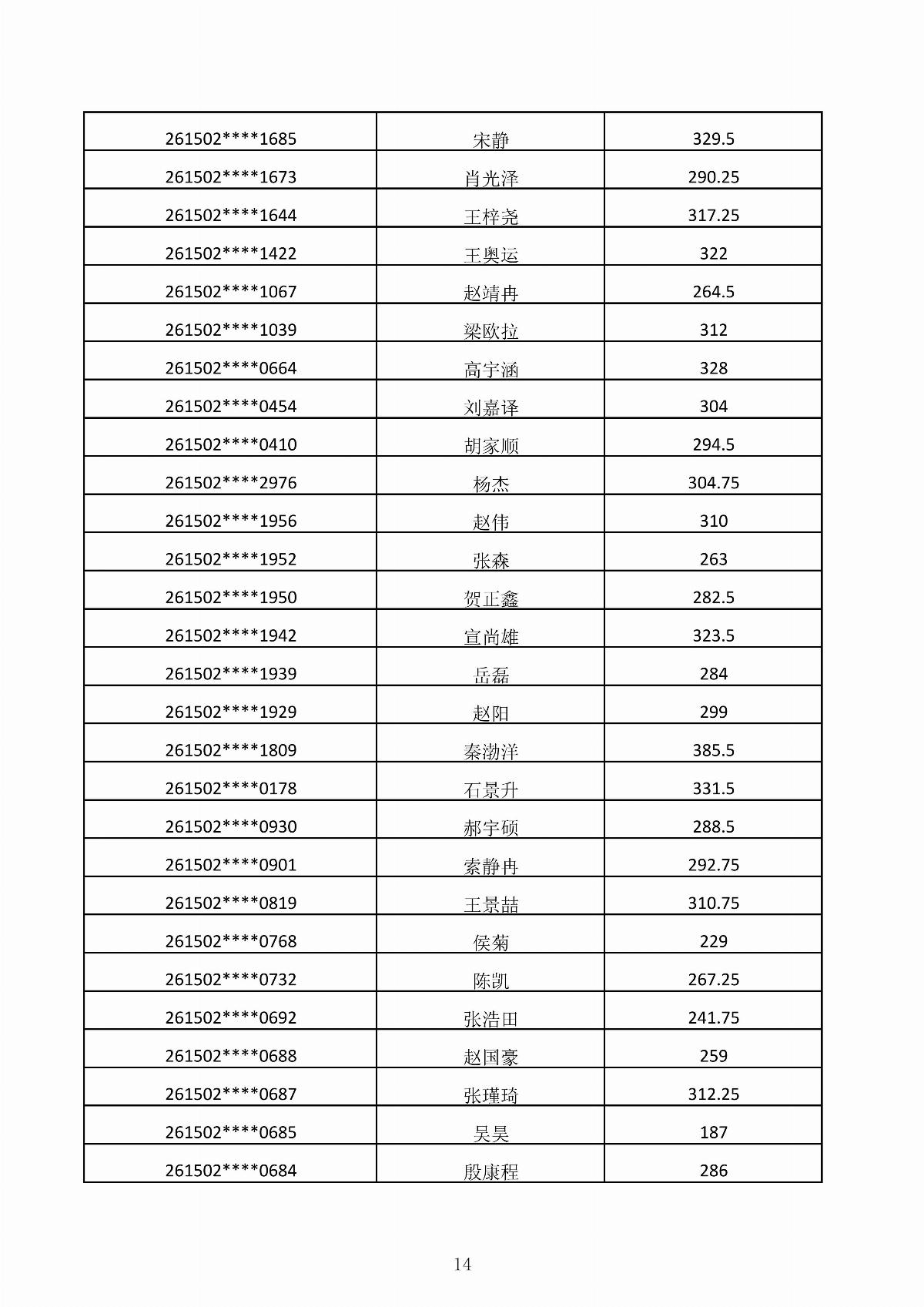
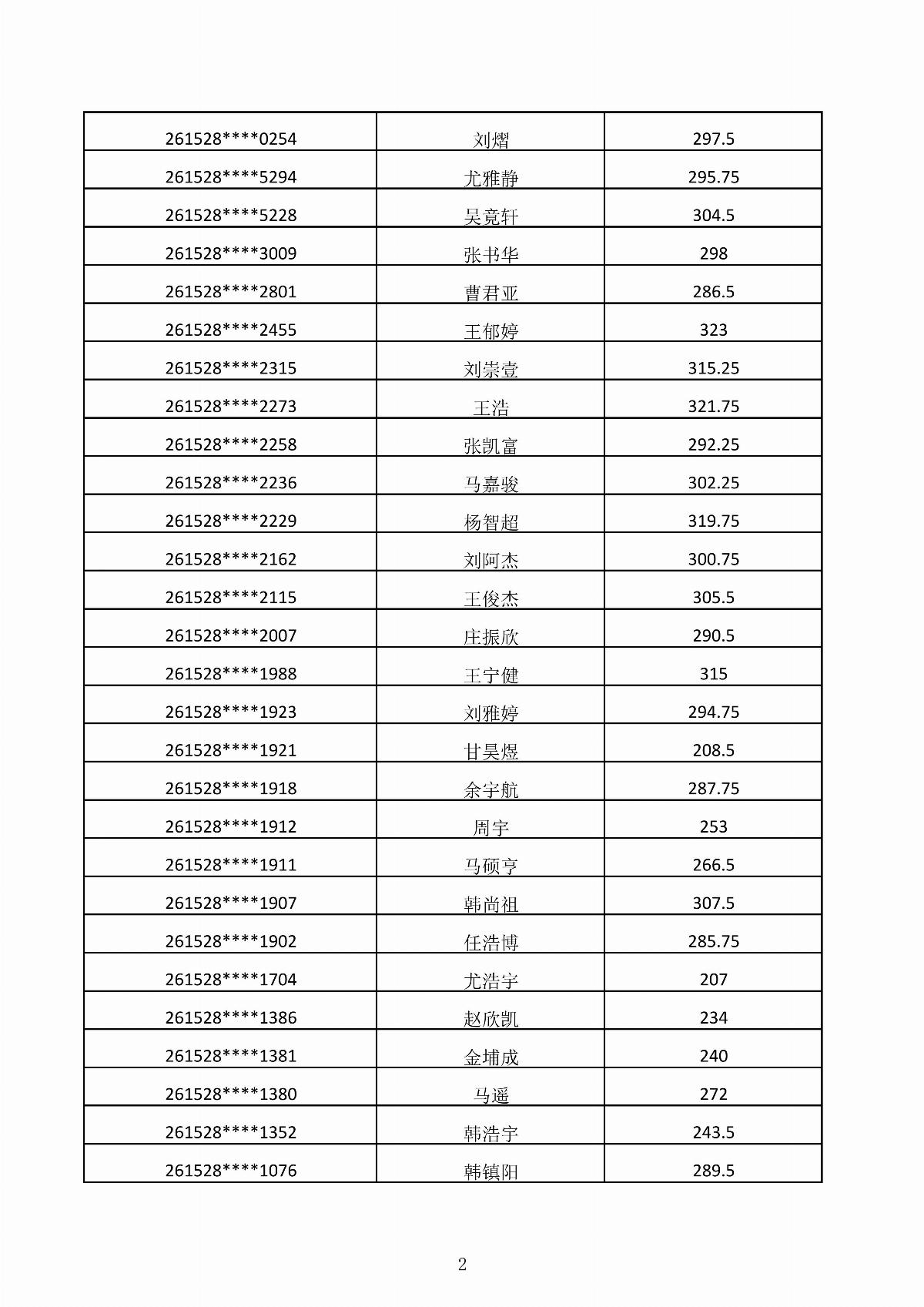
       经学院招生工作委员会审定,现将内蒙古能源职业学院2026年第二次单招考试考生成绩予以公示。

       公示时间2026年4月20日-4月24日;

       如有异议可在公示期内拨打电话15049134888反映;

       受理时间工作日每天上午8:30-11:30,下午14:40-17:30。

点击此处下载查询单招考试成绩公示

内蒙古能源职业学院2026年第二次单独招生考试成绩公示_01.jpg

内蒙古能源职业学院2026年第二次单独招生考试成绩公示_02.jpg

内蒙古能源职业学院2026年第二次单独招生考试成绩公示_03.jpg

内蒙古能源职业学院2026年第二次单独招生考试成绩公示_04.jpg

内蒙古能源职业学院2026年第二次单独招生考试成绩公示_05.jpg

内蒙古能源职业学院2026年第二次单独招生考试成绩公示_06.jpg

内蒙古能源职业学院2026年第二次单独招生考试成绩公示_07.jpg

内蒙古能源职业学院2026年第二次单独招生考试成绩公示_08.jpg

内蒙古能源职业学院2026年第二次单独招生考试成绩公示_09.jpg

内蒙古能源职业学院2026年第二次单独招生考试成绩公示_10.jpg

内蒙古能源职业学院2026年第二次单独招生考试成绩公示_11.jpg

内蒙古能源职业学院2026年第二次单独招生考试成绩公示_12.jpg

内蒙古能源职业学院2026年第二次单独招生考试成绩公示_13.jpg

内蒙古能源职业学院2026年第二次单独招生考试成绩公示_14.jpg

内蒙古能源职业学院2026年第二次单独招生考试成绩公示_15.jpg

内蒙古能源职业学院2026年第二次单独招生考试成绩公示_16.jpg

内蒙古能源职业学院2026年第二次单独招生考试成绩公示_17.jpg

内蒙古能源职业学院2026年第二次单独招生考试成绩公示_18.jpg


在线留言

看不清楚请点击刷新验证码
  • 地址:呼和浩特市新城区新尼路(生盖营村北900米)
  • 联系电话:0471-3327694 0471-3291442
  • 传真:0471-3298208 QQ:373860420
  • 校企合作电话:18639714313
  • 电子邮箱:nmny2010@163.com
  • 网信科:15847663230
二维码
二维码

Copyright C 2020-2023 All Rights Reserved 版权所有 内蒙古能源职业学院
蒙ICP备12000892号-1 蒙公网安备 15010202151008号